
Fig: A quadratic Bezier curve

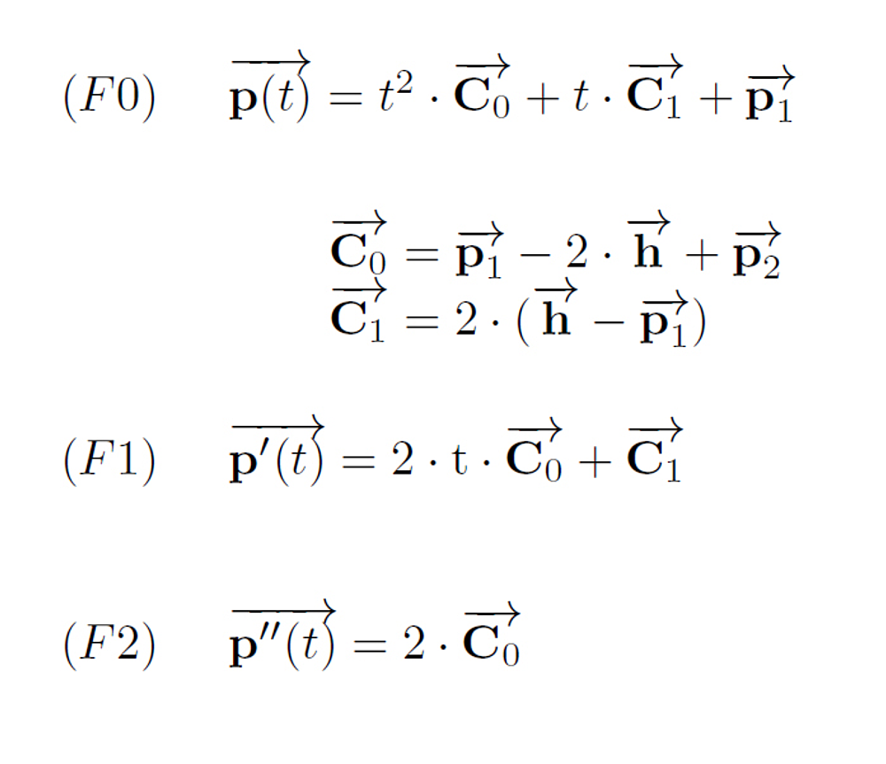
Fig: The curve representation for the quadratic Bezier curve
If you want to reconstruct these formulas yourself, I recommend using the algorithm by de Casteljau.
This curve is determined by 3 vectors. So it is basically in one plane. The orientation also remains the same and the vector N0 for calculating the osculating circle does not depend on the parameter t and only needs to be calculated once. If h is not exactly on the line between p1 and p2 there is always an osculating circle.