
Fig: An Svg line with start and end point

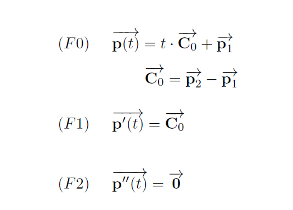
Fig: The formulas for the Svg line
Here are the basic equations, adapted to the Svg line segments. It is easy to keep the computing effort to a minimum. And because the second derivative is constant zero, there is no osculating circle.